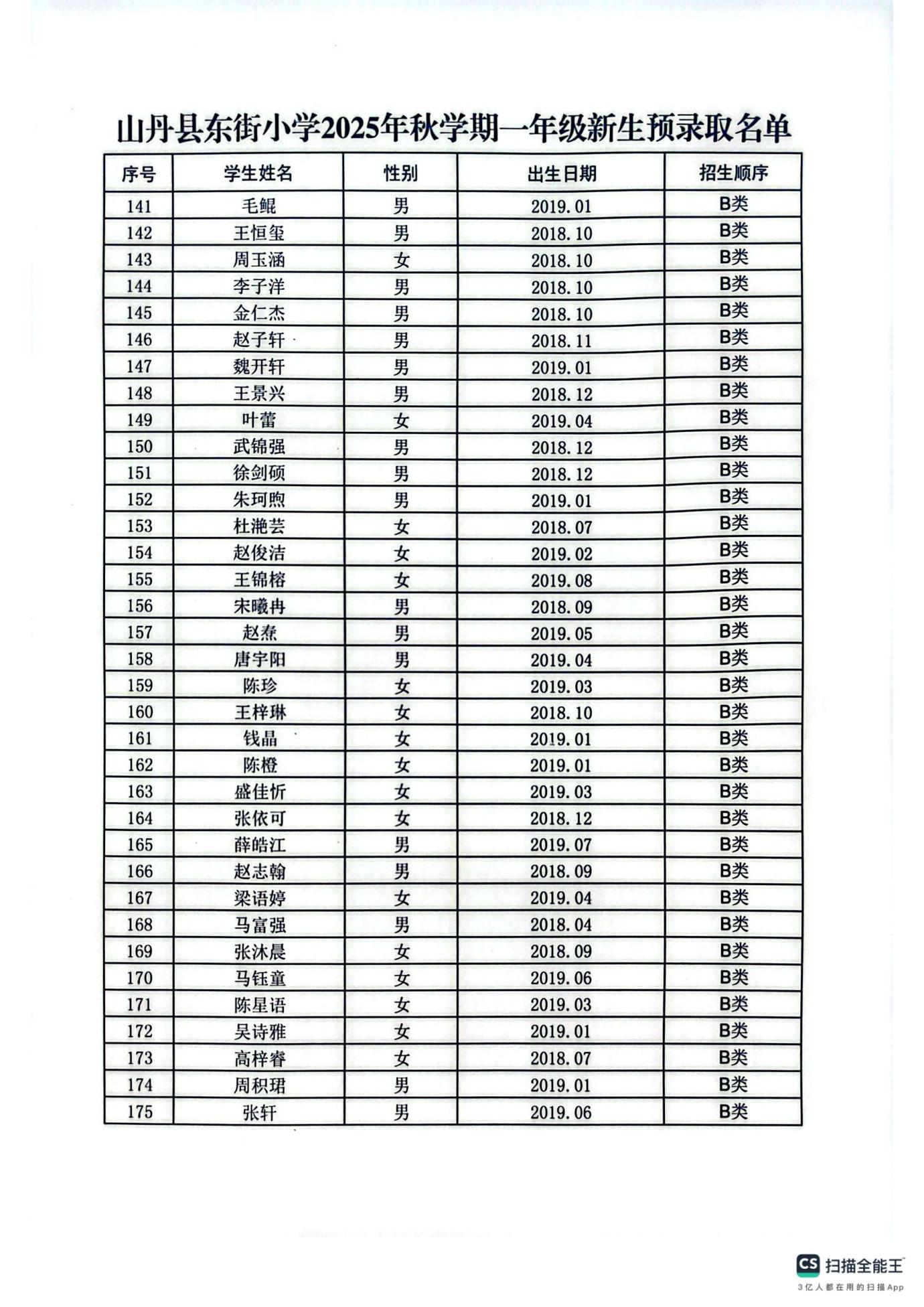
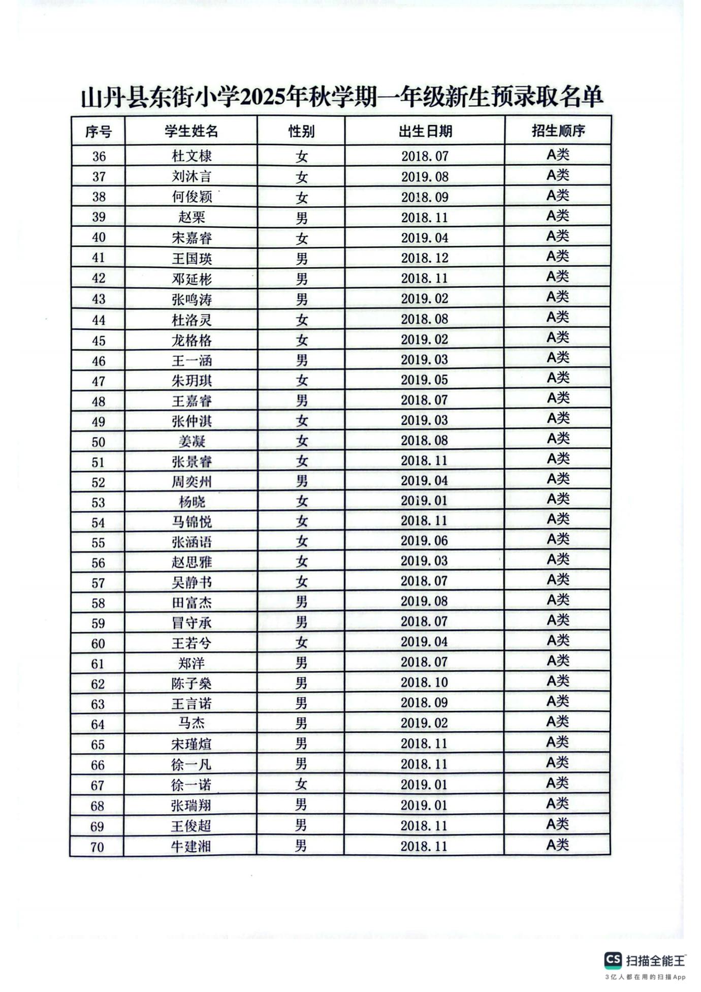
山丹县东街小学2025年秋学期一年级新生预录取名单公示

索引号: 6207250006/2025-00120

文号:

关键词:

发布机构: 教育局

公开形式:

公开目录:

生成日期: 2025-07-12 10:10:00

有效性:

索引号 6207250006/2025-00120 发文字号
关键词 发布机构 教育局
公开形式 公开目录
生成日期 2025-07-12 10:10:00 是否有效


扫一扫在手机打开当前页面

Baidu
map